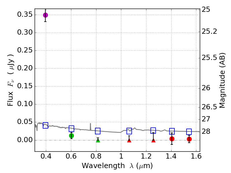
RXS0603+42-N IR detection object #5011

Color images and BPZ results
Catalog: 5011.cat
Black segments are analyzed here.   Roll mouse over color images to view segments.
Best viewed in a wide browser window (1200 pixels or more).   Download SED & P(z) plots to view larger versions.
In P(z) plots: Yellow lines mark the cluster redshift z = 0.228,  

Object #5011   x,y = (2715, 1862)   RA, Dec = (06:03:12.984, 42:15:09.36) = (90.80410, 42.25260)   BPZ = 1.700 [1.469--2.103]   type = 11.00 (SB11_A_0_l)   stellarity = 0.80   chisq2 = 75.27   ODDS = 0.58   z_cluster = 0.228