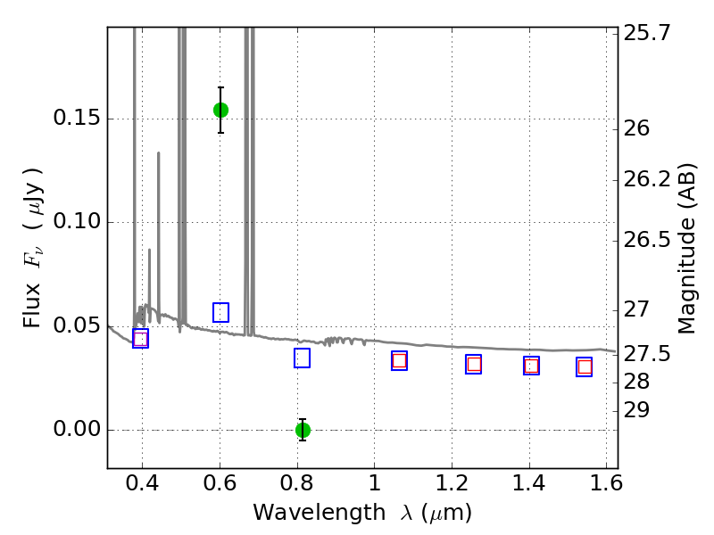
RXS0603+42-N IR detection object #4993

Color images and BPZ results
Catalog: 4993.cat
Black segments are analyzed here.   Roll mouse over color images to view segments.
Best viewed in a wide browser window (1200 pixels or more).   Download SED & P(z) plots to view larger versions.
In P(z) plots: Yellow lines mark the cluster redshift z = 0.228,  

Object #4993   x,y = (1251, 1870)   RA, Dec = (06:03:20.904, 42:15:09.72) = (90.83710, 42.25270)   BPZ = 0.021 [0.010--1.817]   type = 11.00 (SB11_A_0_l)   stellarity = 0.77   chisq2 = 99.14   ODDS = 0.96   z_cluster = 0.228