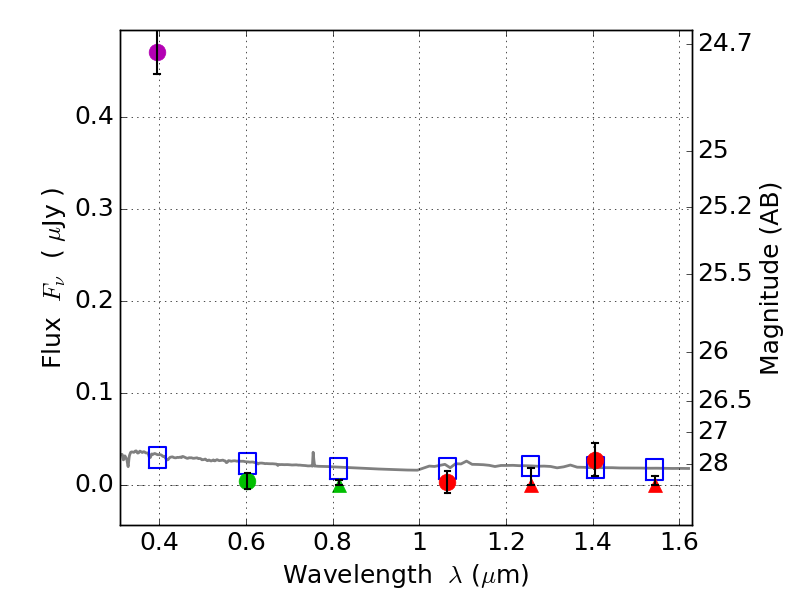
RXS0603+42-N IR detection object #4948

Color images and BPZ results
Catalog: 4948.cat
Black segments are analyzed here.   Roll mouse over color images to view segments.
Best viewed in a wide browser window (1200 pixels or more).   Download SED & P(z) plots to view larger versions.
In P(z) plots: Yellow lines mark the cluster redshift z = 0.228,  

Object #4948   x,y = (3403, 1883)   RA, Dec = (06:03:09.264, 42:15:10.80) = (90.78860, 42.25300)   BPZ = 1.697 [1.118--2.230]   type = 11.00 (SB11_A_0_l)   stellarity = 0.84   chisq2 = 82.73   ODDS = 0.47   z_cluster = 0.228