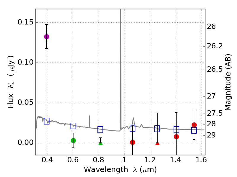
RXS0603+42-N IR detection object #4932

Color images and BPZ results
Catalog: 4932.cat
Black segments are analyzed here.   Roll mouse over color images to view segments.
Best viewed in a wide browser window (1200 pixels or more).   Download SED & P(z) plots to view larger versions.
In P(z) plots: Yellow lines mark the cluster redshift z = 0.228,  

Object #4932   x,y = (3977, 1890)   RA, Dec = (06:03:06.168, 42:15:11.16) = (90.77570, 42.25310)   BPZ = 1.608 [0.935--2.408]   type = 11.00 (SB11_A_0_l)   stellarity = 0.08   chisq2 = 15.01   ODDS = 0.24   z_cluster = 0.228