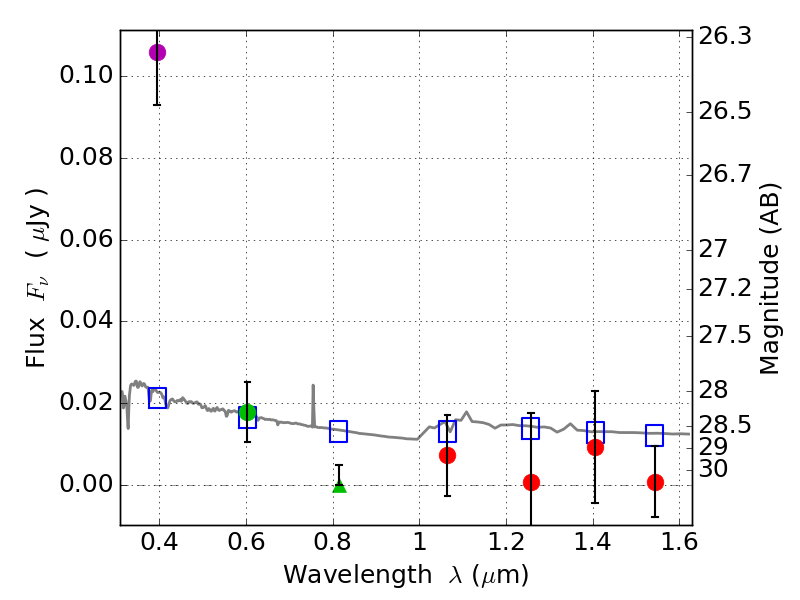
RXS0603+42-N IR detection object #4924

Color images and BPZ results
Catalog: 4924.cat
Black segments are analyzed here.   Roll mouse over color images to view segments.
Best viewed in a wide browser window (1200 pixels or more).   Download SED & P(z) plots to view larger versions.
In P(z) plots: Yellow lines mark the cluster redshift z = 0.228,  

Object #4924   x,y = (2656, 1894)   RA, Dec = (06:03:13.296, 42:15:11.16) = (90.80540, 42.25310)   BPZ = 1.700 [0.785--2.495]   type = 11.00 (SB11_A_0_l)   stellarity = 0.38   chisq2 = 12.65   ODDS = 0.33   z_cluster = 0.228