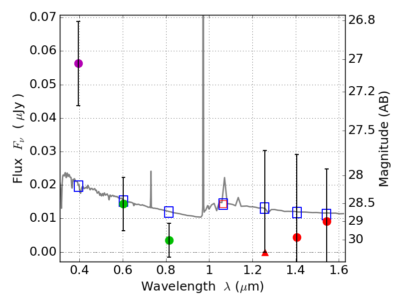
RXS0603+42-N IR detection object #4903

Color images and BPZ results
Catalog: 4903.cat
Black segments are analyzed here.   Roll mouse over color images to view segments.
Best viewed in a wide browser window (1200 pixels or more).   Download SED & P(z) plots to view larger versions.
In P(z) plots: Yellow lines mark the cluster redshift z = 0.228,  

Object #4903   x,y = (3987, 1900)   RA, Dec = (06:03:06.120, 42:15:11.52) = (90.77550, 42.25320)   BPZ = 1.612 [0.446--3.292]   type = 11.00 (SB11_A_0_l)   stellarity = 0.43   chisq2 = 3.77   ODDS = 0.16   z_cluster = 0.228