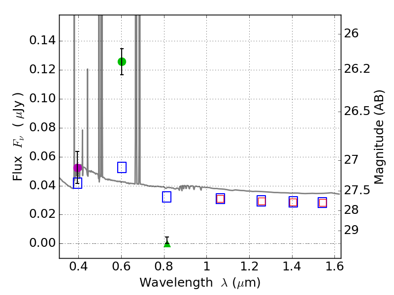
RXS0603+42-N IR detection object #4885

Color images and BPZ results
Catalog: 4885.cat
Black segments are analyzed here.   Roll mouse over color images to view segments.
Best viewed in a wide browser window (1200 pixels or more).   Download SED & P(z) plots to view larger versions.
In P(z) plots: Yellow lines mark the cluster redshift z = 0.228,  

Object #4885   x,y = (4127, 1907)   RA, Dec = (06:03:05.352, 42:15:12.24) = (90.77230, 42.25340)   BPZ = 0.020 [0.010--0.050]   type = 11.00 (SB11_A_0_l)   stellarity = 0.60   chisq2 = 87.58   ODDS = 0.98   z_cluster = 0.228