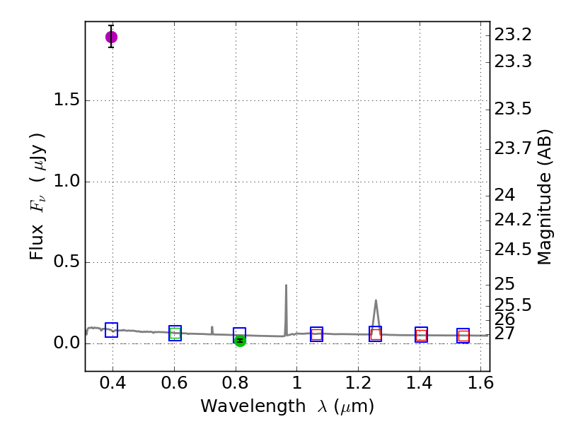
RXS0603+42-N IR detection object #4877

Color images and BPZ results
Catalog: 4877.cat
Black segments are analyzed here.   Roll mouse over color images to view segments.
Best viewed in a wide browser window (1200 pixels or more).   Download SED & P(z) plots to view larger versions.
In P(z) plots: Yellow lines mark the cluster redshift z = 0.228,  

Object #4877   x,y = (4471, 1910)   RA, Dec = (06:03:03.504, 42:15:12.24) = (90.76460, 42.25340)   BPZ = 1.594 [1.343--2.027]   type = 11.00 (SB11_A_0_l)   stellarity = 1.00   chisq2 = 728.60   ODDS = 0.46   z_cluster = 0.228