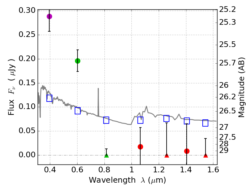
RXS0603+42-N IR detection object #4850

Color images and BPZ results
Catalog: 4850.cat
Black segments are analyzed here.   Roll mouse over color images to view segments.
Best viewed in a wide browser window (1200 pixels or more).   Download SED & P(z) plots to view larger versions.
In P(z) plots: Yellow lines mark the cluster redshift z = 0.228,  

Object #4850   x,y = (4051, 1786)   RA, Dec = (06:03:05.760, 42:15:05.04) = (90.77400, 42.25140)   BPZ = 1.700 [0.046--2.139]   type = 11.00 (SB11_A_0_l)   stellarity = 0.00   chisq2 = 19.29   ODDS = 0.56   z_cluster = 0.228