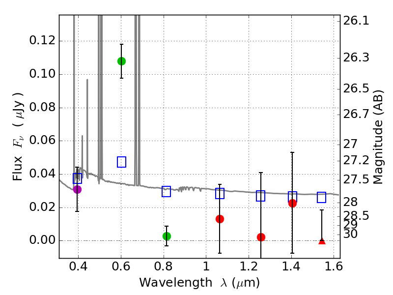
RXS0603+42-N IR detection object #4843

Color images and BPZ results
Catalog: 4843.cat
Black segments are analyzed here.   Roll mouse over color images to view segments.
Best viewed in a wide browser window (1200 pixels or more).   Download SED & P(z) plots to view larger versions.
In P(z) plots: Yellow lines mark the cluster redshift z = 0.228,  

Object #4843   x,y = (4085, 1829)   RA, Dec = (06:03:05.592, 42:15:07.56) = (90.77330, 42.25210)   BPZ = 0.024 [0.011--2.905]   type = 11.00 (SB11_A_0_l)   stellarity = 0.04   chisq2 = 12.67   ODDS = 0.57   z_cluster = 0.228