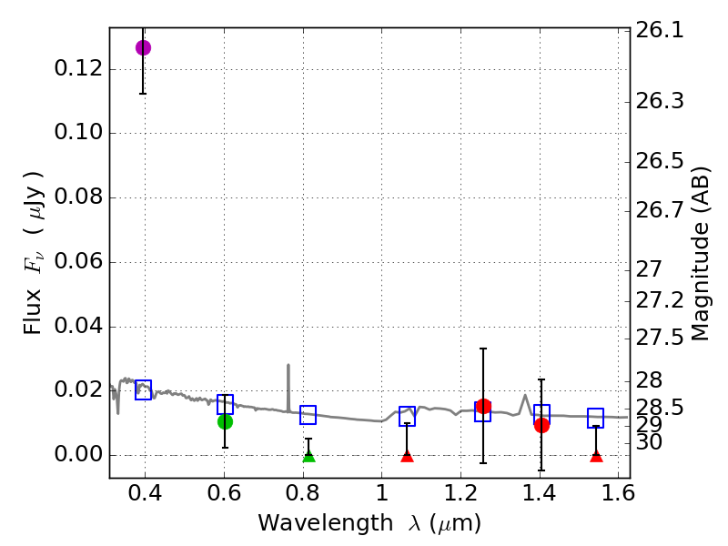
RXS0603+42-N IR detection object #4839

Color images and BPZ results
Catalog: 4839.cat
Black segments are analyzed here.   Roll mouse over color images to view segments.
Best viewed in a wide browser window (1200 pixels or more).   Download SED & P(z) plots to view larger versions.
In P(z) plots: Yellow lines mark the cluster redshift z = 0.228,  

Object #4839   x,y = (2409, 2085)   RA, Dec = (06:03:14.640, 42:15:22.68) = (90.81100, 42.25630)   BPZ = 1.729 [0.668--2.603]   type = 11.00 (SB11_A_0_l)   stellarity = 0.23   chisq2 = 15.75   ODDS = 0.30   z_cluster = 0.228