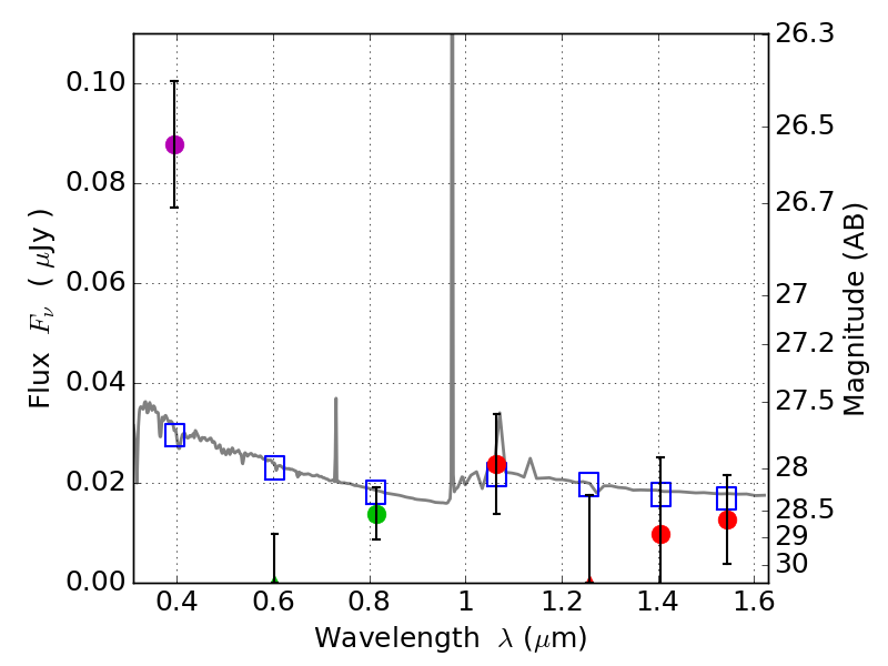
RXS0603+42-N IR detection object #4838

Color images and BPZ results
Catalog: 4838.cat
Black segments are analyzed here.   Roll mouse over color images to view segments.
Best viewed in a wide browser window (1200 pixels or more).   Download SED & P(z) plots to view larger versions.
In P(z) plots: Yellow lines mark the cluster redshift z = 0.228,  

Object #4838   x,y = (3013, 1913)   RA, Dec = (06:03:11.376, 42:15:12.60) = (90.79740, 42.25350)   BPZ = 1.612 [0.594--2.392]   type = 11.00 (SB11_A_0_l)   stellarity = 0.13   chisq2 = 7.05   ODDS = 0.24   z_cluster = 0.228