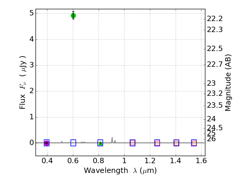
RXS0603+42-N IR detection object #480

Color images and BPZ results
Catalog: 480.cat
Black segments are analyzed here.   Roll mouse over color images to view segments.
Best viewed in a wide browser window (1200 pixels or more).   Download SED & P(z) plots to view larger versions.
In P(z) plots: Yellow lines mark the cluster redshift z = 0.228,  

Object #480   x,y = (2892, 3571)   RA, Dec = (06:03:12.024, 42:16:51.96) = (90.80010, 42.28110)   BPZ = 0.381 [0.080--2.192]   type = 11.00 (SB11_A_0_l)   stellarity = 1.00   chisq2 = 1146.00   ODDS = 0.12   z_cluster = 0.228