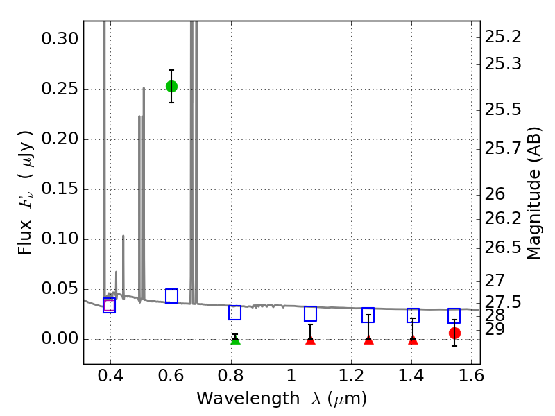
RXS0603+42-N IR detection object #4796

Color images and BPZ results
Catalog: 4796.cat
Black segments are analyzed here.   Roll mouse over color images to view segments.
Best viewed in a wide browser window (1200 pixels or more).   Download SED & P(z) plots to view larger versions.
In P(z) plots: Yellow lines mark the cluster redshift z = 0.228,  

Object #4796   x,y = (1542, 2513)   RA, Dec = (06:03:19.320, 42:15:48.60) = (90.83050, 42.26350)   BPZ = 0.023 [0.010--2.754]   type = 11.00 (SB11_A_0_l)   stellarity = 0.65   chisq2 = 63.35   ODDS = 0.87   z_cluster = 0.228