RXS0603+42-N IR detection object #4792

Color images and BPZ results
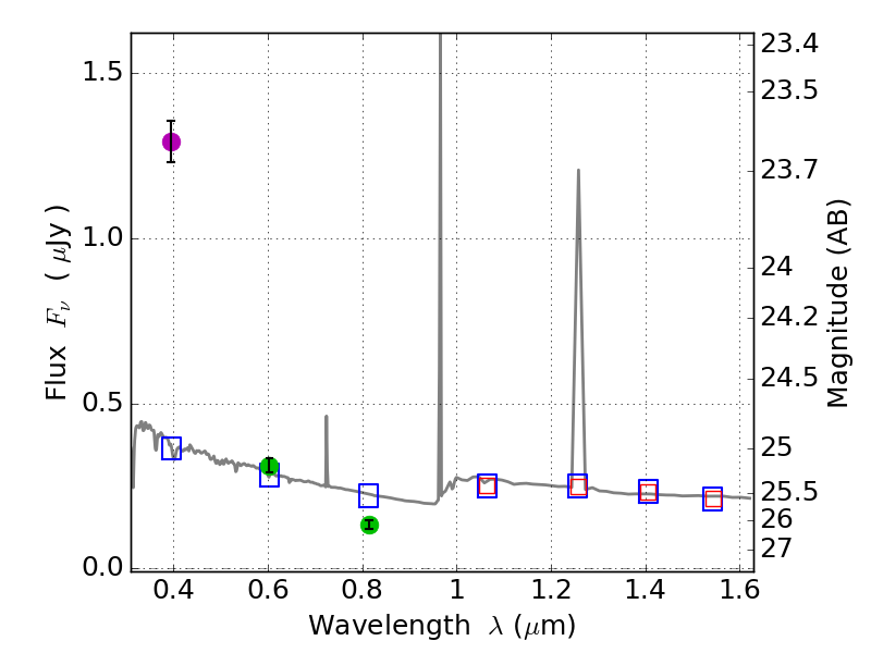
Catalog: 4792.cat
Black segments are analyzed here.   Roll mouse over color images to view segments.
Best viewed in a wide browser window (1200 pixels or more).   Download SED & P(z) plots to view larger versions.
In P(z) plots: Yellow lines mark the cluster redshift z = 0.228,  

Object #4792   x,y = (1380, 1848)   RA, Dec = (06:03:20.208, 42:15:08.64) = (90.83420, 42.25240)   BPZ = 1.593 [1.474--1.838]   type = 11.00 (SB11_A_0_l)   stellarity = 0.65   chisq2 = 198.00   ODDS = 0.74   z_cluster = 0.228