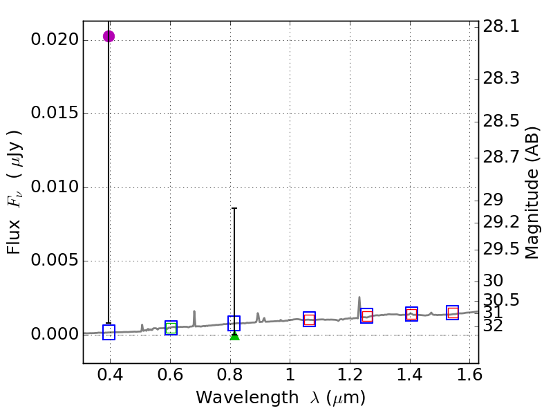
RXS0603+42-N IR detection object #4790

Color images and BPZ results
Catalog: 4790.cat
Black segments are analyzed here.   Roll mouse over color images to view segments.
Best viewed in a wide browser window (1200 pixels or more).   Download SED & P(z) plots to view larger versions.
In P(z) plots: Yellow lines mark the cluster redshift z = 0.228,  

Object #4790   x,y = (4320, 1926)   RA, Dec = (06:03:04.320, 42:15:13.32) = (90.76800, 42.25370)   BPZ = 0.360 [0.050--0.865]   type = 7.00 (Scd_B10)   stellarity = 0.95   chisq2 = 1.08   ODDS = 0.19   z_cluster = 0.228