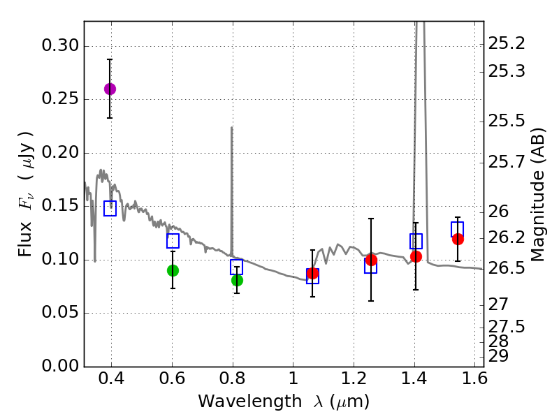
RXS0603+42-N IR detection object #4762

Color images and BPZ results
Catalog: 4762.cat
Black segments are analyzed here.   Roll mouse over color images to view segments.
Best viewed in a wide browser window (1200 pixels or more).   Download SED & P(z) plots to view larger versions.
In P(z) plots: Yellow lines mark the cluster redshift z = 0.228,  

Object #4762   x,y = (2671, 1936)   RA, Dec = (06:03:13.224, 42:15:13.68) = (90.80510, 42.25380)   BPZ = 1.853 [1.278--2.180]   type = 11.00 (SB11_A_0_l)   stellarity = 0.29   chisq2 = 4.38   ODDS = 0.37   z_cluster = 0.228