RXS0603+42-N IR detection object #4736

Color images and BPZ results
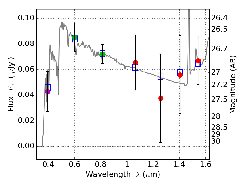
Catalog: 4736.cat
Black segments are analyzed here.   Roll mouse over color images to view segments.
Best viewed in a wide browser window (1200 pixels or more).   Download SED & P(z) plots to view larger versions.
In P(z) plots: Yellow lines mark the cluster redshift z = 0.228,  

Object #4736   x,y = (1668, 1943)   RA, Dec = (06:03:18.648, 42:15:14.40) = (90.82770, 42.25400)   BPZ = 2.948 [0.166--3.353]   type = 10.60 (SB11_A_0_l - SB3_B10)   stellarity = 0.05   chisq2 = 0.08   ODDS = 0.43   z_cluster = 0.228