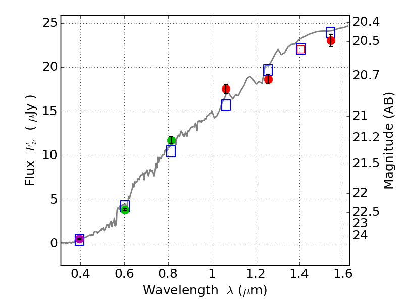
RXS0603+42-N IR detection object #4735

Color images and BPZ results
Catalog: 4735.cat
Black segments are analyzed here.   Roll mouse over color images to view segments.
Best viewed in a wide browser window (1200 pixels or more).   Download SED & P(z) plots to view larger versions.
In P(z) plots: Yellow lines mark the cluster redshift z = 0.228,  

Object #4735   x,y = (2058, 1843)   RA, Dec = (06:03:16.536, 42:15:08.28) = (90.81890, 42.25230)   BPZ = 0.421 [0.331--0.452]   type = 4.00 (Ell4_A_0)   stellarity = 0.92   chisq2 = 0.83   ODDS = 0.90   z_cluster = 0.228