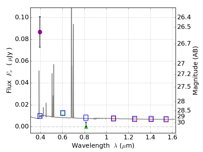
RXS0603+42-N IR detection object #4715

Color images and BPZ results
Catalog: 4715.cat
Black segments are analyzed here.   Roll mouse over color images to view segments.
Best viewed in a wide browser window (1200 pixels or more).   Download SED & P(z) plots to view larger versions.
In P(z) plots: Yellow lines mark the cluster redshift z = 0.228,  

Object #4715   x,y = (4471, 1954)   RA, Dec = (06:03:03.504, 42:15:14.76) = (90.76460, 42.25410)   BPZ = 0.040 [0.029--0.855]   type = 11.00 (SB11_A_0_l)   stellarity = 0.49   chisq2 = 34.34   ODDS = 0.10   z_cluster = 0.228