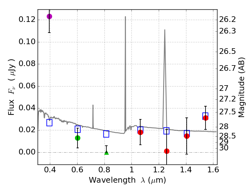
RXS0603+42-N IR detection object #4697

Color images and BPZ results
Catalog: 4697.cat
Black segments are analyzed here.   Roll mouse over color images to view segments.
Best viewed in a wide browser window (1200 pixels or more).   Download SED & P(z) plots to view larger versions.
In P(z) plots: Yellow lines mark the cluster redshift z = 0.228,  

Object #4697   x,y = (3640, 1961)   RA, Dec = (06:03:07.992, 42:15:15.48) = (90.78330, 42.25430)   BPZ = 1.556 [1.145--2.308]   type = 11.00 (SB11_A_0_l)   stellarity = 0.49   chisq2 = 12.59   ODDS = 0.25   z_cluster = 0.228