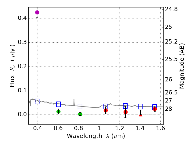
RXS0603+42-N IR detection object #4565

Color images and BPZ results
Catalog: 4565.cat
Black segments are analyzed here.   Roll mouse over color images to view segments.
Best viewed in a wide browser window (1200 pixels or more).   Download SED & P(z) plots to view larger versions.
In P(z) plots: Yellow lines mark the cluster redshift z = 0.228,  

Object #4565   x,y = (3446, 2004)   RA, Dec = (06:03:09.024, 42:15:18.00) = (90.78760, 42.25500)   BPZ = 1.701 [1.451--1.994]   type = 11.00 (SB11_A_0_l)   stellarity = 0.65   chisq2 = 85.25   ODDS = 0.64   z_cluster = 0.228