RXS0603+42-N IR detection object #4542

Color images and BPZ results
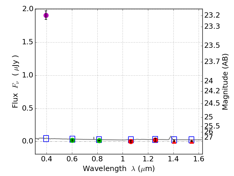
Catalog: 4542.cat
Black segments are analyzed here.   Roll mouse over color images to view segments.
Best viewed in a wide browser window (1200 pixels or more).   Download SED & P(z) plots to view larger versions.
In P(z) plots: Yellow lines mark the cluster redshift z = 0.228,  

Object #4542   x,y = (3139, 2011)   RA, Dec = (06:03:10.704, 42:15:18.36) = (90.79460, 42.25510)   BPZ = 1.763 [1.068--2.247]   type = 11.00 (SB11_A_0_l)   stellarity = 0.82   chisq2 = 224.40   ODDS = 0.46   z_cluster = 0.228