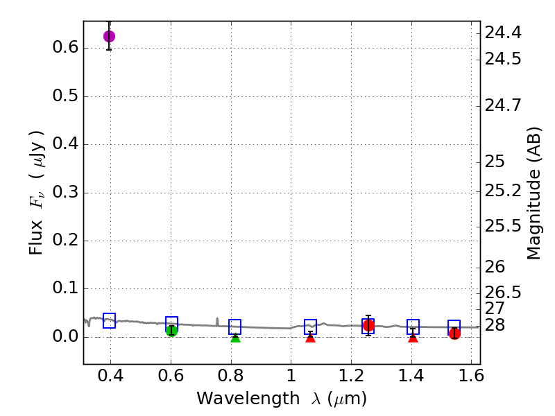
RXS0603+42-N IR detection object #4439

Color images and BPZ results
Catalog: 4439.cat
Black segments are analyzed here.   Roll mouse over color images to view segments.
Best viewed in a wide browser window (1200 pixels or more).   Download SED & P(z) plots to view larger versions.
In P(z) plots: Yellow lines mark the cluster redshift z = 0.228,  

Object #4439   x,y = (3091, 2037)   RA, Dec = (06:03:10.968, 42:15:19.80) = (90.79570, 42.25550)   BPZ = 1.699 [1.324--2.206]   type = 11.00 (SB11_A_0_l)   stellarity = 0.77   chisq2 = 108.30   ODDS = 0.49   z_cluster = 0.228