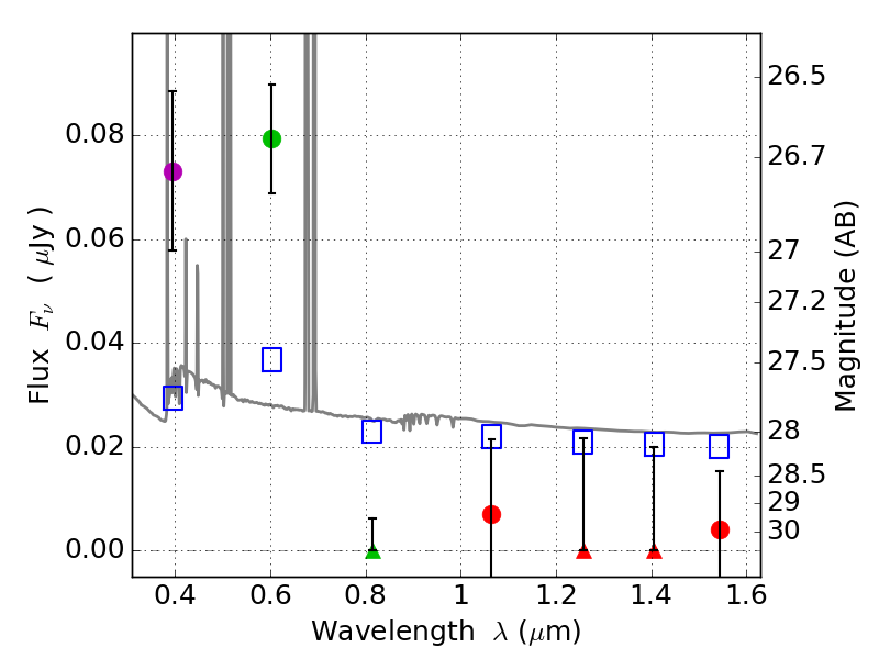
RXS0603+42-N IR detection object #4431

Color images and BPZ results
Catalog: 4431.cat
Black segments are analyzed here.   Roll mouse over color images to view segments.
Best viewed in a wide browser window (1200 pixels or more).   Download SED & P(z) plots to view larger versions.
In P(z) plots: Yellow lines mark the cluster redshift z = 0.228,  

Object #4431   x,y = (3493, 2041)   RA, Dec = (06:03:08.784, 42:15:20.16) = (90.78660, 42.25560)   BPZ = 0.027 [0.021--2.684]   type = 11.00 (SB11_A_0_l)   stellarity = 0.36   chisq2 = 9.96   ODDS = 0.10   z_cluster = 0.228