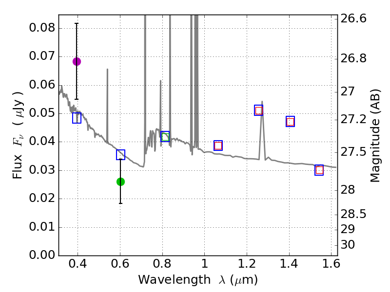
RXS0603+42-N IR detection object #4403

Color images and BPZ results
Catalog: 4403.cat
Black segments are analyzed here.   Roll mouse over color images to view segments.
Best viewed in a wide browser window (1200 pixels or more).   Download SED & P(z) plots to view larger versions.
In P(z) plots: Yellow lines mark the cluster redshift z = 0.228,  

Object #4403   x,y = (1560, 2053)   RA, Dec = (06:03:19.224, 42:15:20.88) = (90.83010, 42.25580)   BPZ = 0.933 [0.556--2.371]   type = 11.00 (SB11_A_0_l)   stellarity = 0.43   chisq2 = 3.31   ODDS = 0.11   z_cluster = 0.228