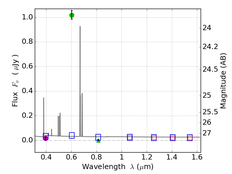
RXS0603+42-N IR detection object #436

Color images and BPZ results
Catalog: 436.cat
Black segments are analyzed here.   Roll mouse over color images to view segments.
Best viewed in a wide browser window (1200 pixels or more).   Download SED & P(z) plots to view larger versions.
In P(z) plots: Yellow lines mark the cluster redshift z = 0.228,  

Object #436   x,y = (2821, 3592)   RA, Dec = (06:03:12.408, 42:16:53.40) = (90.80170, 42.28150)   BPZ = 0.024 [0.010--2.740]   type = 11.00 (SB11_A_0_l)   stellarity = 0.84   chisq2 = 795.30   ODDS = 0.77   z_cluster = 0.228