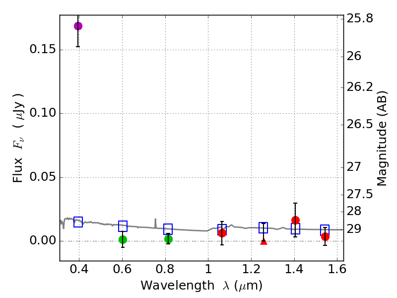
RXS0603+42-N IR detection object #4350

Color images and BPZ results
Catalog: 4350.cat
Black segments are analyzed here.   Roll mouse over color images to view segments.
Best viewed in a wide browser window (1200 pixels or more).   Download SED & P(z) plots to view larger versions.
In P(z) plots: Yellow lines mark the cluster redshift z = 0.228,  

Object #4350   x,y = (3052, 2074)   RA, Dec = (06:03:11.160, 42:15:22.32) = (90.79650, 42.25620)   BPZ = 1.697 [0.512--4.321]   type = 11.00 (SB11_A_0_l)   stellarity = 0.65   chisq2 = 23.00   ODDS = 0.20   z_cluster = 0.228