RXS0603+42-N IR detection object #4342

Color images and BPZ results
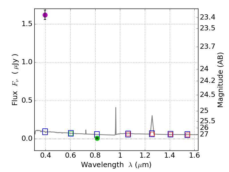
Catalog: 4342.cat
Black segments are analyzed here.   Roll mouse over color images to view segments.
Best viewed in a wide browser window (1200 pixels or more).   Download SED & P(z) plots to view larger versions.
In P(z) plots: Yellow lines mark the cluster redshift z = 0.228,  

Object #4342   x,y = (4551, 2066)   RA, Dec = (06:03:03.072, 42:15:21.60) = (90.76280, 42.25600)   BPZ = 1.594 [1.365--1.992]   type = 11.00 (SB11_A_0_l)   stellarity = 0.89   chisq2 = 638.70   ODDS = 0.50   z_cluster = 0.228