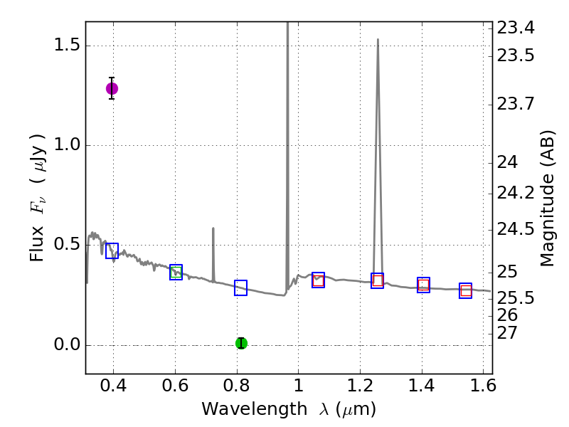
RXS0603+42-N IR detection object #4275

Color images and BPZ results
Catalog: 4275.cat
Black segments are analyzed here.   Roll mouse over color images to view segments.
Best viewed in a wide browser window (1200 pixels or more).   Download SED & P(z) plots to view larger versions.
In P(z) plots: Yellow lines mark the cluster redshift z = 0.228,  

Object #4275   x,y = (4638, 2309)   RA, Dec = (06:03:02.592, 42:15:36.36) = (90.76080, 42.26010)   BPZ = 1.593 [1.505--1.779]   type = 11.00 (SB11_A_0_l)   stellarity = 0.95   chisq2 = 219.30   ODDS = 0.83   z_cluster = 0.228