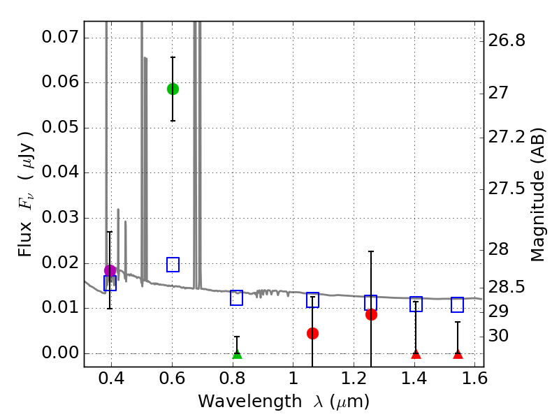
RXS0603+42-N IR detection object #4240

Color images and BPZ results
Catalog: 4240.cat
Black segments are analyzed here.   Roll mouse over color images to view segments.
Best viewed in a wide browser window (1200 pixels or more).   Download SED & P(z) plots to view larger versions.
In P(z) plots: Yellow lines mark the cluster redshift z = 0.228,  

Object #4240   x,y = (3134, 2109)   RA, Dec = (06:03:10.728, 42:15:24.12) = (90.79470, 42.25670)   BPZ = 0.030 [0.019--3.087]   type = 11.00 (SB11_A_0_l)   stellarity = 0.43   chisq2 = 10.95   ODDS = 0.14   z_cluster = 0.228