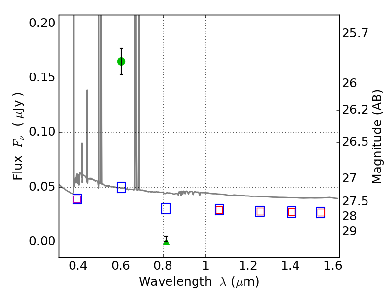
RXS0603+42-N IR detection object #4239

Color images and BPZ results
Catalog: 4239.cat
Black segments are analyzed here.   Roll mouse over color images to view segments.
Best viewed in a wide browser window (1200 pixels or more).   Download SED & P(z) plots to view larger versions.
In P(z) plots: Yellow lines mark the cluster redshift z = 0.228,  

Object #4239   x,y = (1386, 2177)   RA, Dec = (06:03:20.160, 42:15:28.44) = (90.83400, 42.25790)   BPZ = 0.022 [0.010--2.201]   type = 11.00 (SB11_A_0_l)   stellarity = 0.66   chisq2 = 109.40   ODDS = 0.90   z_cluster = 0.228