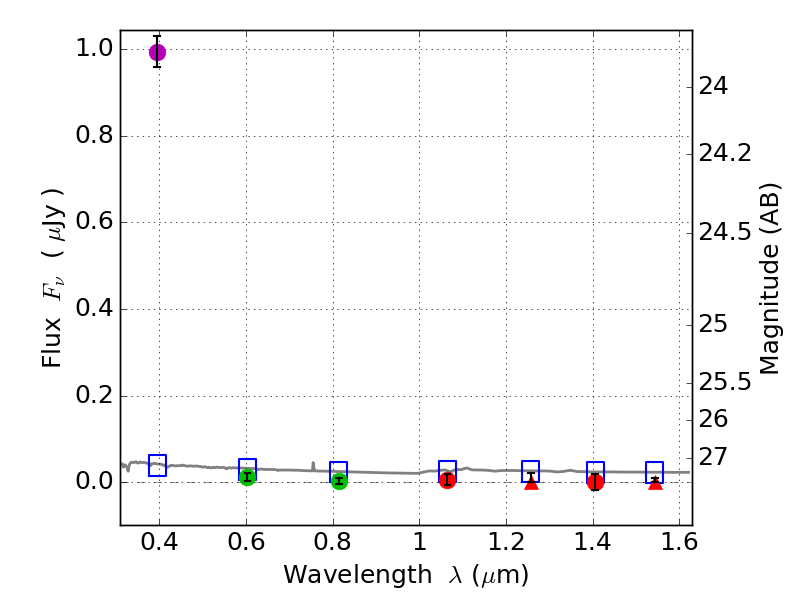
RXS0603+42-N IR detection object #4173

Color images and BPZ results
Catalog: 4173.cat
Black segments are analyzed here.   Roll mouse over color images to view segments.
Best viewed in a wide browser window (1200 pixels or more).   Download SED & P(z) plots to view larger versions.
In P(z) plots: Yellow lines mark the cluster redshift z = 0.228,  

Object #4173   x,y = (2981, 2130)   RA, Dec = (06:03:11.544, 42:15:25.56) = (90.79810, 42.25710)   BPZ = 1.701 [1.366--2.161]   type = 11.00 (SB11_A_0_l)   stellarity = 0.96   chisq2 = 178.80   ODDS = 0.55   z_cluster = 0.228