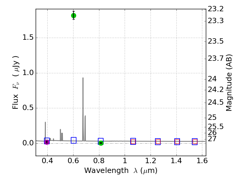
RXS0603+42-N IR detection object #417

Color images and BPZ results
Catalog: 417.cat
Black segments are analyzed here.   Roll mouse over color images to view segments.
Best viewed in a wide browser window (1200 pixels or more).   Download SED & P(z) plots to view larger versions.
In P(z) plots: Yellow lines mark the cluster redshift z = 0.228,  

Object #417   x,y = (2771, 3602)   RA, Dec = (06:03:12.672, 42:16:53.76) = (90.80280, 42.28160)   BPZ = 0.027 [0.028--3.266]   type = 11.00 (SB11_A_0_l)   stellarity = 0.95   chisq2 = 925.40   ODDS = 0.06   z_cluster = 0.228