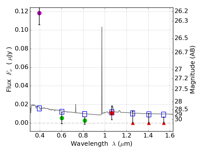
RXS0603+42-N IR detection object #4161

Color images and BPZ results
Catalog: 4161.cat
Black segments are analyzed here.   Roll mouse over color images to view segments.
Best viewed in a wide browser window (1200 pixels or more).   Download SED & P(z) plots to view larger versions.
In P(z) plots: Yellow lines mark the cluster redshift z = 0.228,  

Object #4161   x,y = (2824, 2137)   RA, Dec = (06:03:12.408, 42:15:25.92) = (90.80170, 42.25720)   BPZ = 1.612 [0.523--2.673]   type = 11.00 (SB11_A_0_l)   stellarity = 0.42   chisq2 = 17.81   ODDS = 0.23   z_cluster = 0.228