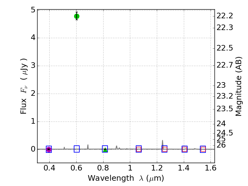
RXS0603+42-N IR detection object #4140

Color images and BPZ results
Catalog: 4140.cat
Black segments are analyzed here.   Roll mouse over color images to view segments.
Best viewed in a wide browser window (1200 pixels or more).   Download SED & P(z) plots to view larger versions.
In P(z) plots: Yellow lines mark the cluster redshift z = 0.228,  

Object #4140   x,y = (4427, 2144)   RA, Dec = (06:03:03.744, 42:15:26.28) = (90.76560, 42.25730)   BPZ = 0.372 [0.060--2.329]   type = 10.00 (SB3_B10)   stellarity = 0.89   chisq2 = 1146.00   ODDS = 0.13   z_cluster = 0.228