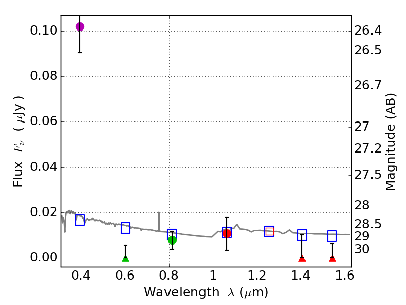
RXS0603+42-N IR detection object #4132

Color images and BPZ results
Catalog: 4132.cat
Black segments are analyzed here.   Roll mouse over color images to view segments.
Best viewed in a wide browser window (1200 pixels or more).   Download SED & P(z) plots to view larger versions.
In P(z) plots: Yellow lines mark the cluster redshift z = 0.228,  

Object #4132   x,y = (2213, 2149)   RA, Dec = (06:03:15.696, 42:15:26.64) = (90.81540, 42.25740)   BPZ = 1.704 [0.478--2.496]   type = 11.00 (SB11_A_0_l)   stellarity = 0.49   chisq2 = 20.60   ODDS = 0.27   z_cluster = 0.228