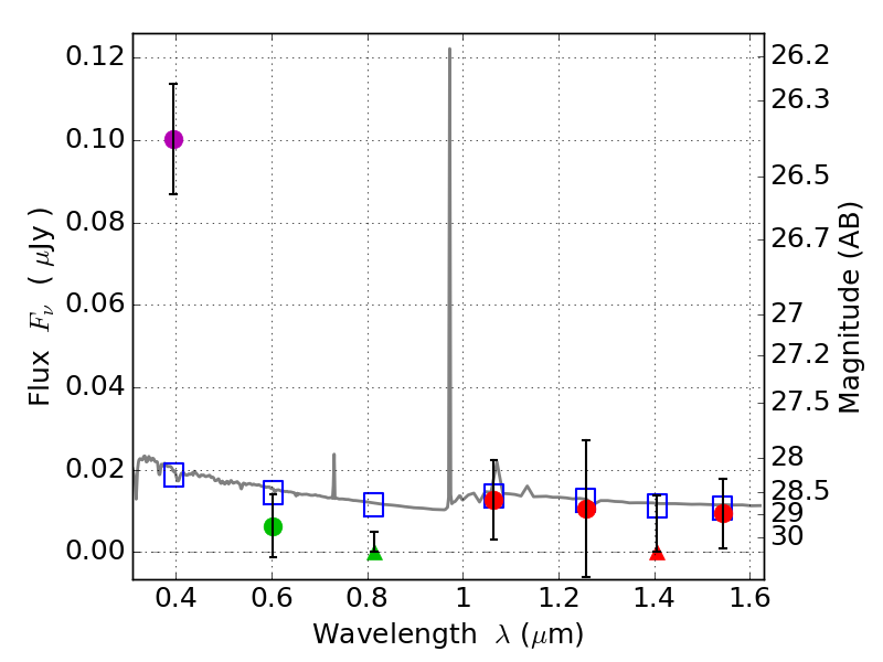
RXS0603+42-N IR detection object #4131

Color images and BPZ results
Catalog: 4131.cat
Black segments are analyzed here.   Roll mouse over color images to view segments.
Best viewed in a wide browser window (1200 pixels or more).   Download SED & P(z) plots to view larger versions.
In P(z) plots: Yellow lines mark the cluster redshift z = 0.228,  

Object #4131   x,y = (2422, 2148)   RA, Dec = (06:03:14.568, 42:15:26.64) = (90.81070, 42.25740)   BPZ = 1.612 [0.595--2.729]   type = 11.00 (SB11_A_0_l)   stellarity = 0.36   chisq2 = 10.96   ODDS = 0.22   z_cluster = 0.228