RXS0603+42-N IR detection object #4117

Color images and BPZ results
Catalog: 4117.cat
Black segments are analyzed here.   Roll mouse over color images to view segments.
Best viewed in a wide browser window (1200 pixels or more).   Download SED & P(z) plots to view larger versions.
In P(z) plots: Yellow lines mark the cluster redshift z = 0.228,  

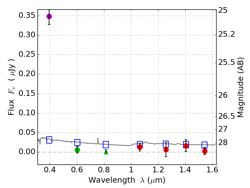
Object #4117   x,y = (2837, 2151)   RA, Dec = (06:03:12.336, 42:15:26.64) = (90.80140, 42.25740)   BPZ = 1.700 [1.159--2.190]   type = 11.00 (SB11_A_0_l)   stellarity = 0.72   chisq2 = 61.22   ODDS = 0.50   z_cluster = 0.228