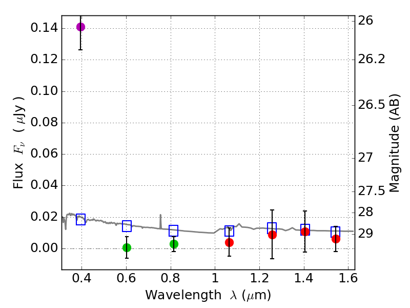
RXS0603+42-N IR detection object #4103

Color images and BPZ results
Catalog: 4103.cat
Black segments are analyzed here.   Roll mouse over color images to view segments.
Best viewed in a wide browser window (1200 pixels or more).   Download SED & P(z) plots to view larger versions.
In P(z) plots: Yellow lines mark the cluster redshift z = 0.228,  

Object #4103   x,y = (2831, 2157)   RA, Dec = (06:03:12.360, 42:15:27.00) = (90.80150, 42.25750)   BPZ = 1.697 [0.648--2.668]   type = 11.00 (SB11_A_0_l)   stellarity = 0.49   chisq2 = 19.07   ODDS = 0.25   z_cluster = 0.228