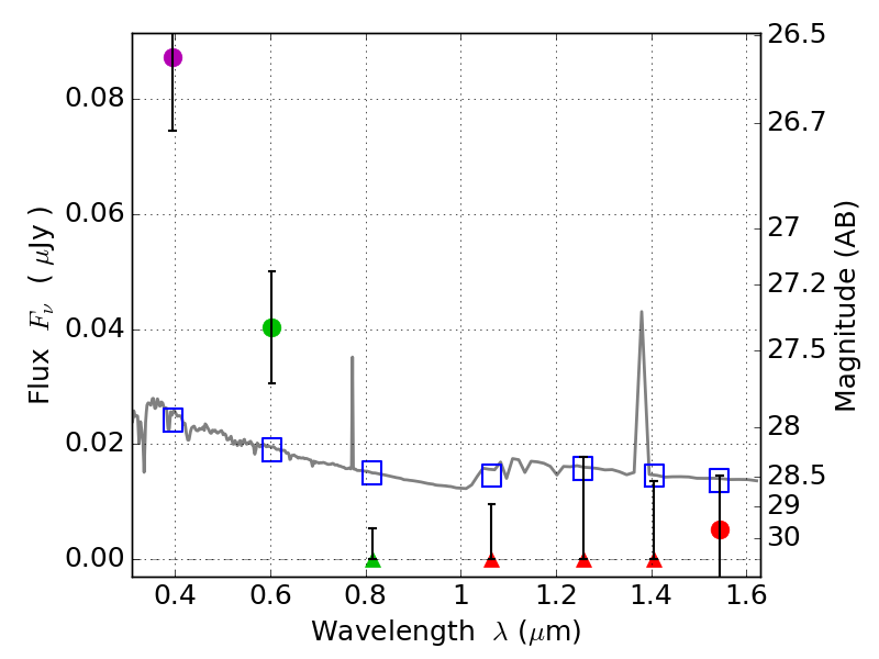
RXS0603+42-N IR detection object #4050

Color images and BPZ results
Catalog: 4050.cat
Black segments are analyzed here.   Roll mouse over color images to view segments.
Best viewed in a wide browser window (1200 pixels or more).   Download SED & P(z) plots to view larger versions.
In P(z) plots: Yellow lines mark the cluster redshift z = 0.228,  

Object #4050   x,y = (2445, 2172)   RA, Dec = (06:03:14.448, 42:15:28.08) = (90.81020, 42.25780)   BPZ = 1.763 [0.794--2.564]   type = 11.00 (SB11_A_0_l)   stellarity = 0.06   chisq2 = 10.18   ODDS = 0.29   z_cluster = 0.228