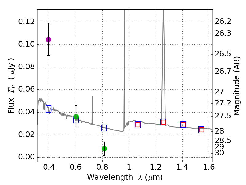
RXS0603+42-N IR detection object #4044

Color images and BPZ results
Catalog: 4044.cat
Black segments are analyzed here.   Roll mouse over color images to view segments.
Best viewed in a wide browser window (1200 pixels or more).   Download SED & P(z) plots to view larger versions.
In P(z) plots: Yellow lines mark the cluster redshift z = 0.228,  

Object #4044   x,y = (4178, 2188)   RA, Dec = (06:03:05.088, 42:15:28.80) = (90.77120, 42.25800)   BPZ = 1.595 [1.226--2.262]   type = 11.00 (SB11_A_0_l)   stellarity = 0.53   chisq2 = 25.36   ODDS = 0.31   z_cluster = 0.228