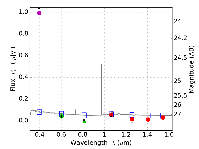
RXS0603+42-N IR detection object #3963

Color images and BPZ results
Catalog: 3963.cat
Black segments are analyzed here.   Roll mouse over color images to view segments.
Best viewed in a wide browser window (1200 pixels or more).   Download SED & P(z) plots to view larger versions.
In P(z) plots: Yellow lines mark the cluster redshift z = 0.228,  

Object #3963   x,y = (2747, 2211)   RA, Dec = (06:03:12.816, 42:15:30.24) = (90.80340, 42.25840)   BPZ = 1.611 [1.453--1.935]   type = 11.00 (SB11_A_0_l)   stellarity = 0.99   chisq2 = 140.90   ODDS = 0.61   z_cluster = 0.228