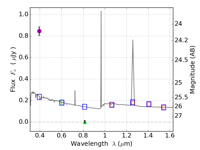
RXS0603+42-N IR detection object #3945

Color images and BPZ results
Catalog: 3945.cat
Black segments are analyzed here.   Roll mouse over color images to view segments.
Best viewed in a wide browser window (1200 pixels or more).   Download SED & P(z) plots to view larger versions.
In P(z) plots: Yellow lines mark the cluster redshift z = 0.228,  

Object #3945   x,y = (4653, 2220)   RA, Dec = (06:03:02.520, 42:15:30.96) = (90.76050, 42.25860)   BPZ = 1.589 [1.384--1.730]   type = 11.00 (SB11_A_0_l)   stellarity = 0.66   chisq2 = 258.70   ODDS = 0.75   z_cluster = 0.228