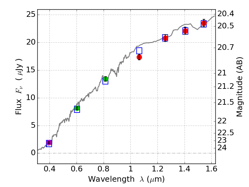
RXS0603+42-N IR detection object #3939

Color images and BPZ results
Catalog: 3939.cat
Black segments are analyzed here.   Roll mouse over color images to view segments.
Best viewed in a wide browser window (1200 pixels or more).   Download SED & P(z) plots to view larger versions.
In P(z) plots: Yellow lines mark the cluster redshift z = 0.228,  

Object #3939   x,y = (2783, 2199)   RA, Dec = (06:03:12.624, 42:15:29.52) = (90.80260, 42.25820)   BPZ = 0.054 [0.020--0.287]   type = 4.20 (Ell4_A_0 - ES0_B10)   stellarity = 0.03   chisq2 = 0.15   ODDS = 0.59   z_cluster = 0.228