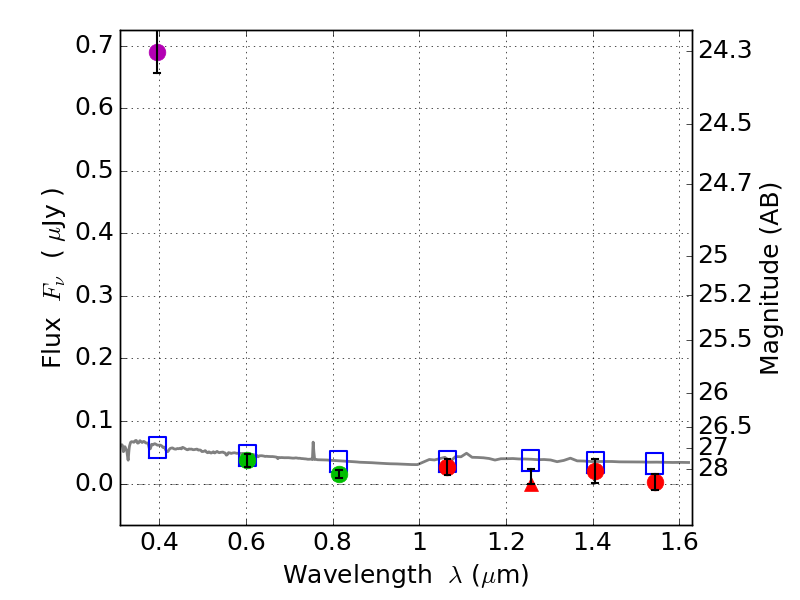
RXS0603+42-N IR detection object #3922

Color images and BPZ results
Catalog: 3922.cat
Black segments are analyzed here.   Roll mouse over color images to view segments.
Best viewed in a wide browser window (1200 pixels or more).   Download SED & P(z) plots to view larger versions.
In P(z) plots: Yellow lines mark the cluster redshift z = 0.228,  

Object #3922   x,y = (2634, 2231)   RA, Dec = (06:03:13.416, 42:15:31.68) = (90.80590, 42.25880)   BPZ = 1.701 [1.452--2.076]   type = 11.00 (SB11_A_0_l)   stellarity = 0.89   chisq2 = 90.19   ODDS = 0.63   z_cluster = 0.228