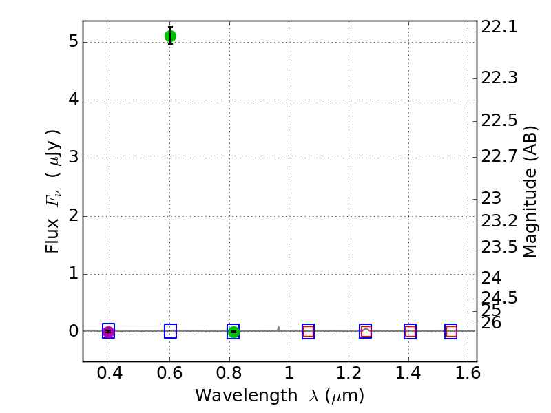
RXS0603+42-N IR detection object #392

Color images and BPZ results
Catalog: 392.cat
Black segments are analyzed here.   Roll mouse over color images to view segments.
Best viewed in a wide browser window (1200 pixels or more).   Download SED & P(z) plots to view larger versions.
In P(z) plots: Yellow lines mark the cluster redshift z = 0.228,  

Object #392   x,y = (2767, 3619)   RA, Dec = (06:03:12.696, 42:16:54.84) = (90.80290, 42.28190)   BPZ = 1.595 [0.304--6.413]   type = 11.00 (SB11_A_0_l)   stellarity = 0.74   chisq2 = 1144.00   ODDS = 0.07   z_cluster = 0.228