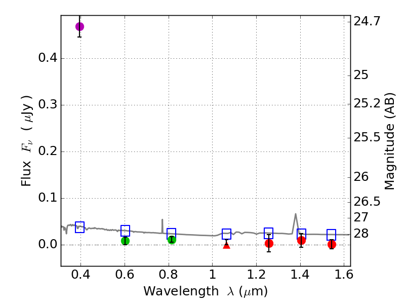
RXS0603+42-N IR detection object #3910

Color images and BPZ results
Catalog: 3910.cat
Black segments are analyzed here.   Roll mouse over color images to view segments.
Best viewed in a wide browser window (1200 pixels or more).   Download SED & P(z) plots to view larger versions.
In P(z) plots: Yellow lines mark the cluster redshift z = 0.228,  

Object #3910   x,y = (2602, 2236)   RA, Dec = (06:03:13.584, 42:15:31.68) = (90.80660, 42.25880)   BPZ = 1.763 [1.392--2.175]   type = 11.00 (SB11_A_0_l)   stellarity = 0.73   chisq2 = 91.81   ODDS = 0.52   z_cluster = 0.228