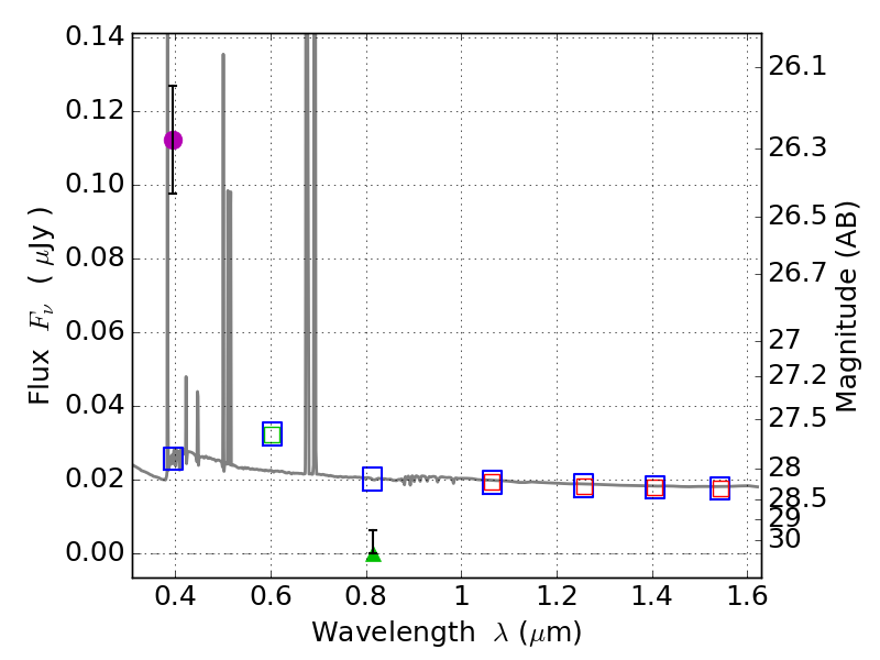
RXS0603+42-N IR detection object #3886

Color images and BPZ results
Catalog: 3886.cat
Black segments are analyzed here.   Roll mouse over color images to view segments.
Best viewed in a wide browser window (1200 pixels or more).   Download SED & P(z) plots to view larger versions.
In P(z) plots: Yellow lines mark the cluster redshift z = 0.228,  

Object #3886   x,y = (4569, 2242)   RA, Dec = (06:03:02.976, 42:15:32.04) = (90.76240, 42.25890)   BPZ = 0.027 [0.012--0.749]   type = 11.00 (SB11_A_0_l)   stellarity = 0.58   chisq2 = 43.50   ODDS = 0.53   z_cluster = 0.228