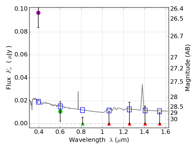
RXS0603+42-N IR detection object #3882

Color images and BPZ results
Catalog: 3882.cat
Black segments are analyzed here.   Roll mouse over color images to view segments.
Best viewed in a wide browser window (1200 pixels or more).   Download SED & P(z) plots to view larger versions.
In P(z) plots: Yellow lines mark the cluster redshift z = 0.228,  

Object #3882   x,y = (1787, 2243)   RA, Dec = (06:03:18.000, 42:15:32.40) = (90.82500, 42.25900)   BPZ = 1.763 [0.491--2.987]   type = 11.00 (SB11_A_0_l)   stellarity = 0.35   chisq2 = 10.86   ODDS = 0.23   z_cluster = 0.228